Pesquisa sobre a estiagem 2020 – Impactos na cafeicultura de Muzambinho e região


O link para acesso foi enviado via lista de transmissão do WhatsApp aos cafeicultores e cafeicultoras da região, constantes na lista de contatos do aparelho de telefonia celular do Extensionista Agropecuário Clóvis de Piza, Emater-MG, responsável pelo atendimento de propriedades inscritas no Programa Certifica Minas Café na microrregião de Muzambinho.
No total o questionário foi enviado a 151 contatos. Excluídas as repetições identificadas, foram registradas 42 contribuições. As questões foram estruturadas de forma os cafeicultores poderem relatar suas percepções sobre estiagem que estamos vivendo em 2020 e seus impactos na cafeicultura da região.
Vamos às questões e respostas obtidas:


Observamos que para a maioria dos cafeicultores participantes da pesquisa (57,1%) esse ano está muito mais seco que a média. Quando somamos a esse grupo os que acham que está um pouco mais seco que a média dos anos, temos que 95,2% deles percebem esse ano como atípico em termos de estiagem.


Os dados mostram que para menos de 10% dos entrevistados relatam que suas lavouras estão em situação normal, com 31% relatando danos leves, 35,7% danos médios e para praticamente um quarto deles (23,8%) houve danos severos, porém não existiram relatos de danos irreversíveis. Tal situação pode levar a uma frustração de safra em várias propriedades, principalmente nas lavouras com bienalidade positiva.


A situação de estiagem não afetou o planejamento de podas para próximo da metade das respostas (45,2%), mas para uma parcela significativa dos participantes (42,9%) necessitaram aumentar as podas de 25 até 50% além da previsão inicial. Para quase 10% deles foi necessário podar o dobro da área planejada. Ao menos não houve relato da necessidade de podar a totalidade das lavouras em função da estiagem. Tal fato teria grande impacto no fluxo de caixa da atividade.


Verifica-se que a poda mais utilizada é o esqueletamento, seguido pelo decote, sendo a maioria das vezes utilizadas na mesma planta para que seja possível renovar os ramos produtivos (plagiotrópicos) e o ponteiro (ramo ortotrópico) dos cafeeiros, possibilitando rápida e eficiente recuperação do potencial produtivo da lavoura.


Para praticamente um quinto das respostas (21,4%) poderá ocorrer perdas de até 10% na próxima safra, mesmo percentual daqueles que acreditam que pode chegar a 50%. Já para 38% dos entrevistados as condições climáticas devem provocar quebra de até 25% na safra em 2021. Não houve relatos de perspectivas de perda total.




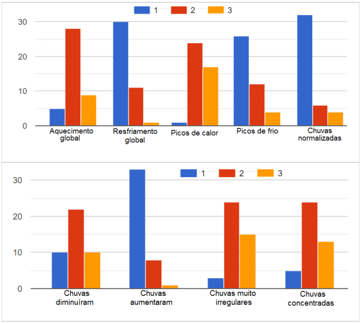
Grande parcela mostrou concordar que realmente o planeta está passando por aquecimento generalizado, que está havendo picos de calor acima da média, com chuvas cada vez mais irregulares e concentradas, dificultando o planejamento e realização dos tratos culturais na cafeicultura.
Opinião do editor:
Pelas respostas obtidas as incertezas climáticas ficam evidenciadas como percepção e preocupação pelos cafeicultores e cafeicultoras. O quanto intenso e longo esse processo será, não sabemos, mas cabe a cada elo da cadeia produtiva, a citar a pesquisa, assistência técnica e extensão rural, cadeia de insumos e produtores (esses com sua capacidade de observação e resiliência), buscar soluções para convivência e sobrevivência nesses cenários.
Técnicas que vão desde o plantio com bom e adequado preparo do solo, buscando manter sua estrutura física e biológica, estímulo ao aprofundamento de raízes, técnicas para retenção de água, diminuição da temperatura na lavoura, inclusive dando maior atenção aos trabalhos com arborização.
A irrigação se mostra uma opção mas oferece dificuldades em nossa região pela disponibilidade de água, com nossas lavouras implantadas nas partes altas, onde a oferta hídrica é pequena, inclusive sendo obstáculo para a obtenção das Outorgas de uso da água, indispensável para a instalação dos projetos.
Municípios participantes identificados:
Alterosa, Cabo Verde, Caconde, Guaranésia, Jacuí, Juruaia, Monte Belo, Muzambinho, Nova Resende, São Pedro da União.
Como comentamos no início deste trabalho e nas outras oportunidades, o objetivo foi obter a percepção dos cafeicultores sobre o clima na cafeicultura em 2020 e possíveis interações para 2021, possibilitando a cada leitor, principalmente produtores, tirar suas conclusões e comparar com a realidade que vivência.
Agradecemos a cada cafeicultor e cafeicultora que disponibilizou seu tempo para contribuir com a ferramenta de entendimento da nossa cafeicultura regional.
Clóvis de Piza
Técnico em Agropecuária
Tecnólogo em cafeicultura
Pós graduado em cafeicultura
Extensionista Agropecuário I, EMATER-MG, Muzambinho, MG, em 13/10/2020.



















Um comentário
Clóvis de Piza
13 de outubro de 2020 at 17:47
Obrigado pelo costumeiro apoio e divulgação.